Cours de mathématiques de 2ndeDroites et plans dans l'espace |
|
Video |
Nous avons déjà beaucoup étudié les droites dans le plan en classe de 3e. Ceux qui trouveraient cette leçon trop rapide sont invités à retourner étudier les leçons de 3e sur les droites.
Une droite est un ensemble de points de coordonnées (x, y) satisfaisant l'équation générale
ax + by + c = 0
Il existe une forme réduite (pour les droites qui ne sont pas verticales) : y = ax + b. Les coefficients ne sont pas les mêmes d'une forme à l'autre.
Définition avec un point et un vecteur. Maintenant que nous connaissons les vecteurs, nous pouvons décrire une droite comme un ensemble de points P = (x, y), tels que A = (x0, y0) appartient à la droite, et tous les vecteurs
sont colinéaires (c'est-à-dire paralllèles) à un vecteur donné V = (a, b).
Cela donne la contrainte, (x - x0 ; y - y0) colinéaire à (a, b) :

Exemple : Trouver l'équation de la droite passant par A = (-2 ; 1) et parallèle au vecteur V = (3 ; 2)

Les calculs donnent

Et on vérifie que cette droite passe par A, ainsi par exemple que par (1 ; 3) ou (-5 ; -1).
Repère dans l'espace. Un repère dans l'espace est la généralisation de ce qu'on a vu dans le plan

Equation d'une droite dans l'espace. C'est l'ensemble des points P = (x, y, z) passant par un point A = (x0, y0, z0) et tels que les vecteurs
soient colinéaires à un vecteur V = (a, b, c) donné.
Si a, b et c sont différents de zéro, cela donnent les deux contraintes

(si a, b ou c = 0, on adapte un peu ces contraintes).
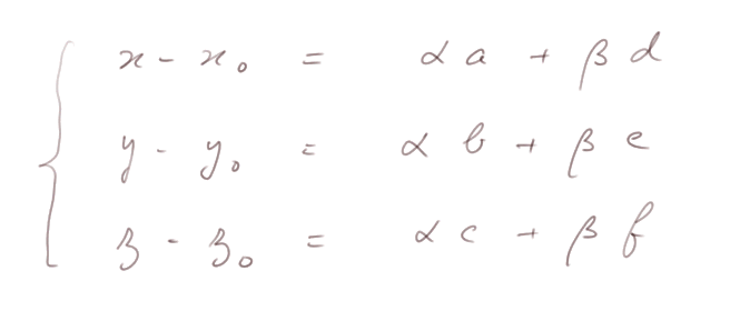
Equation d'un plan dans l'espace. C'est l'ensemble des points P = (x, y, z) passant par un point A = (x0, y0, z0) et tels que les vecteurs
soient une combinaison quelconque de deux vecteurs donnés V1 = (a, b, c) et V2 = (d, e, f) :

Cela donne le système suivant

Et, après élimination des α et β, on obtient une équation linéaire de la forme
sx + ty + uz + v = 0
Exemple : Trouver l'équation du plan passant par A = (1 ; 1 ; 1) et parallèle aux vecteurs V1 = (1 ; 0 ; 1) et V2 = (0 ; 1 ; 1)

Le système ci-dessus devient
D'où z - 1 = x - 1 + y - 1
soit x + y - z - 1 = 0.
On vérifie que ce plan passe par A, et qu'il est parallèle à V1 = (1 ; 0 ; 1) et V2 = (0 ; 1 ; 1). (Pour ce faire, remonter le plan de 1 verticalement, son équation devient x + y - z = 0, et ce nouveau plan contient bien les deux vecteurs.)
Exercices :